What is the total number of paths of length 40 (edges) on the following graph, starting from node A?
Koliko puteva duljine 40 (bridova) postoji na zadanom grafu koji počinju iz točke A?
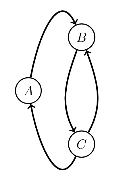
[lang=en]
What is the total number of paths of length 40 (edges) on the following graph, starting from node A?
\includegraphics[scale=0.25]{graf.png}
[/lang]
[lang=hr]
Koliko puteva duljine 40 (bridova) postoji na zadanom grafu koji počinju iz točke A?
\includegraphics[scale=0.25]{graf.png}
[/lang]